Clase 05: Límites Notables y Cambio de Variables
📚 Introducción
Esta clase introduce límites fundamentales que aparecen frecuentemente en el cálculo y son esenciales para resolver problemas más complejos. Además, exploraremos la técnica del cambio de variable, una herramienta poderosa para transformar límites complicados en formas más manejables utilizando los límites notables.
Objetivos de la Clase
- Conocer los límites , ,
- Dominar los límites notables: , ,
- Calcular límites usando las leyes de los límites y límites conocidos
- Aplicar la técnica de cambio de variable para resolver límites
1. Límites Fundamentales

1.1 Límites Trigonométricos Básicos
Límites Trigonométricos Fundamentales

Estos límites se obtienen directamente de la continuidad de las funciones seno y coseno en .
1.2 Límite Exponencial Básico
Definición del número
ees el número tal que:
Límite Exponencial Fundamental
2. Límites Notables
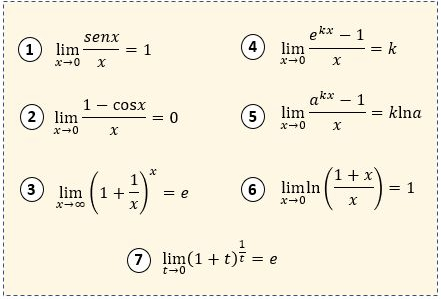
2.1 Límite Notable del Seno
Límite Notable - Seno sobre x
Este es uno de los límites más importantes en cálculo. Geométricamente, representa que para ángulos pequeños (en radianes), .
2.2 Límite Notable del Coseno
Límite Notable - Coseno
2.3 Límite Notable Exponencial
Límite Notable - Exponencial
2.4 Otros Límites Relacionados
Límite Derivado del Coseno
Este límite se puede obtener usando la identidad y el límite notable del seno.
3. Técnica de Cambio de Variable
3.1 Principio del Cambio de Variable
Teorema - Cambio de Variable en Límites
Si y existe, entonces:
3.2 Estrategia de Aplicación
Método de Cambio de Variable
- Identificar la estructura del límite que se asemeje a un límite notable
- Definir una nueva variable que simplifique la expresión
- Determinar hacia qué valor tiende cuando tiende a su valor
- Reescribir el límite en términos de
- Aplicar el límite notable correspondiente
4. Ejemplos de Aplicación
4.1 Ejemplo 1: Límite con Múltiplo del Argumento
Calcular
Solución
Podemos reescribir:
Haciendo , cuando , tenemos
Por lo tanto:
4.2 Ejemplo 2: Límite con Denominador Modificado
Calcular
Solución
Reescribimos:
Con :
4.3 Ejemplo 3: Cambio de Variable con Raíces
Calcular
Solución
Sea , entonces cuando , tenemos
El límite se transforma en:
4.4 Ejemplo 4: Límite con Traslación
Calcular
Solución
Sea , entonces y cuando , tenemos
Como :
5. Otros Límites Importantes
5.1 La Constante de Euler
Definición - Número e
5.2 Ejercicios Propuestos
Ejercicios para Practicar
- Calcular
- Calcular
- Calcular
- Demostrar que
6. Límites que No Existen
6.1 Ejemplos de Oscilación
Algunos límites no existen debido a la oscilación infinita de la función cerca del punto:
Límites Oscilantes
- no existe
- no existe
Estas funciones oscilan infinitamente entre -1 y 1 cuando .
🎯 Conceptos Clave para Repasar
Resumen de Conceptos
- Límites fundamentales: Valores básicos de seno, coseno y exponencial en 0
- Límites notables: Tres límites esenciales que aparecen frecuentemente
- Cambio de variable: Técnica para transformar límites complejos en notables
- Constante e: Definición como límite fundamental
- Aplicaciones: Uso combinado de leyes de límites y límites notables
- Límites oscilantes: Casos donde el límite no existe por oscilación
🚨 Errores Comunes
Error 1: Aplicar límite notable incorrectamente
- Incorrecto:
- Correcto:
Error 2: No verificar el punto al que tiende la nueva variable
- Incorrecto: Asumir que la nueva variable siempre tiende a 0
- Correcto: Verificar hacia dónde tiende cuando tiende a su valor
Error 3: Confundir radianes con grados
- Incorrecto: Usar límites notables con ángulos en grados
- Correcto: Los límites notables solo son válidos con radianes
Error 4: No simplificar antes de aplicar el cambio
- Incorrecto: Hacer cambios de variable complicados innecesarios
- Correcto: Simplificar algebraicamente primero cuando sea posible
📚 Referencias
Lectura Principal
- Sección 3.1: Derivadas de funciones polinomiales y exponenciales, pág. 180
- Sección 3.2: Derivadas de funciones trigonométricas, págs. 192 y 196
Enlaces Relacionados
Sugerencia de Estudio
Puede usar algún software (GeoGebra) para graficar las funciones y conjeturar los valores de los diferentes límites. Explicar que en ocasiones el cálculo del límite no es por simple manipulación algebraica de la fórmula que representa a la función, y se deben usar resultados (como el teorema de la compresión) para obtener su valor.
✅ Checklist de Estudio
Lista de Verificación
- Memorizo los tres límites notables fundamentales
- Puedo aplicar cambio de variable correctamente
- Verifico siempre hacia dónde tiende la nueva variable
- Reconozco cuándo usar cada límite notable
- Puedo combinar límites notables con las leyes de límites
- Entiendo por qué algunos límites oscilantes no existen
- Practico con ejercicios de diferentes tipos
- Uso radianes al trabajar con funciones trigonométricas
🏷️ Tags
calculo limites limites-notables cambio-de-variable seno coseno exponencial constante-e clase-05 clase